Accurate medication dosage calculations are crucial in pediatric care, as children’s bodies are more sensitive to medication than adults. Even small errors in dosage calculations can lead to severe consequences, making it essential for healthcare professionals to master pediatric dosage calculations. To help with this, free printable pediatric dosage calculation worksheets are available, providing a valuable resource for practice and improvement.
These worksheets typically include a variety of problems that cover different types of medications, dosing formulas, and calculation scenarios. By working through these problems, healthcare professionals can develop their skills and confidence in calculating medication dosages for children. The worksheets can be used by students, nurses, and other healthcare professionals who need to improve their pediatric dosage calculation skills.
11 Med Math Worksheets Free PDF At Worksheeto
Understanding Pediatric Dosage Calculations
Understanding pediatric dosage calculations requires a strong foundation in pharmacology and mathematics. Free printable worksheets can help healthcare professionals develop this understanding by providing a range of problems that cover different aspects of pediatric dosage calculations, such as calculating dosages based on body weight or surface area. By practicing with these worksheets, healthcare professionals can improve their ability to calculate accurate medication dosages for children.
11 Med Math Worksheets Free PDF At Worksheeto
Benefits of Using Free Printable Worksheets
The benefits of using free printable worksheets for pediatric dosage calculations are numerous. For one, they provide a convenient and accessible way to practice and improve calculation skills. The worksheets can be printed out and completed at any time, making them a great resource for healthcare professionals with busy schedules. Additionally, the worksheets can be used to identify areas where more practice is needed, allowing healthcare professionals to target their practice and improve their skills more efficiently.
Tips for Effective Practice with Worksheets
To get the most out of free printable pediatric dosage calculation worksheets, it’s essential to use them effectively. This means setting aside dedicated time to practice, using a variety of worksheets to cover different topics and calculation scenarios, and reviewing and learning from mistakes. By following these tips and using the worksheets consistently, healthcare professionals can improve their pediatric dosage calculation skills and provide better care for their young patients.
11 Med Math Worksheets Free PDF At Worksheeto
In conclusion, free printable pediatric dosage calculation worksheets are a valuable resource for healthcare professionals who need to improve their skills in calculating medication dosages for children. By providing a range of problems and scenarios, these worksheets can help healthcare professionals develop their understanding of pediatric dosage calculations and improve their calculation skills. With consistent practice and review, healthcare professionals can master pediatric dosage calculations and provide accurate and safe care for their young patients.
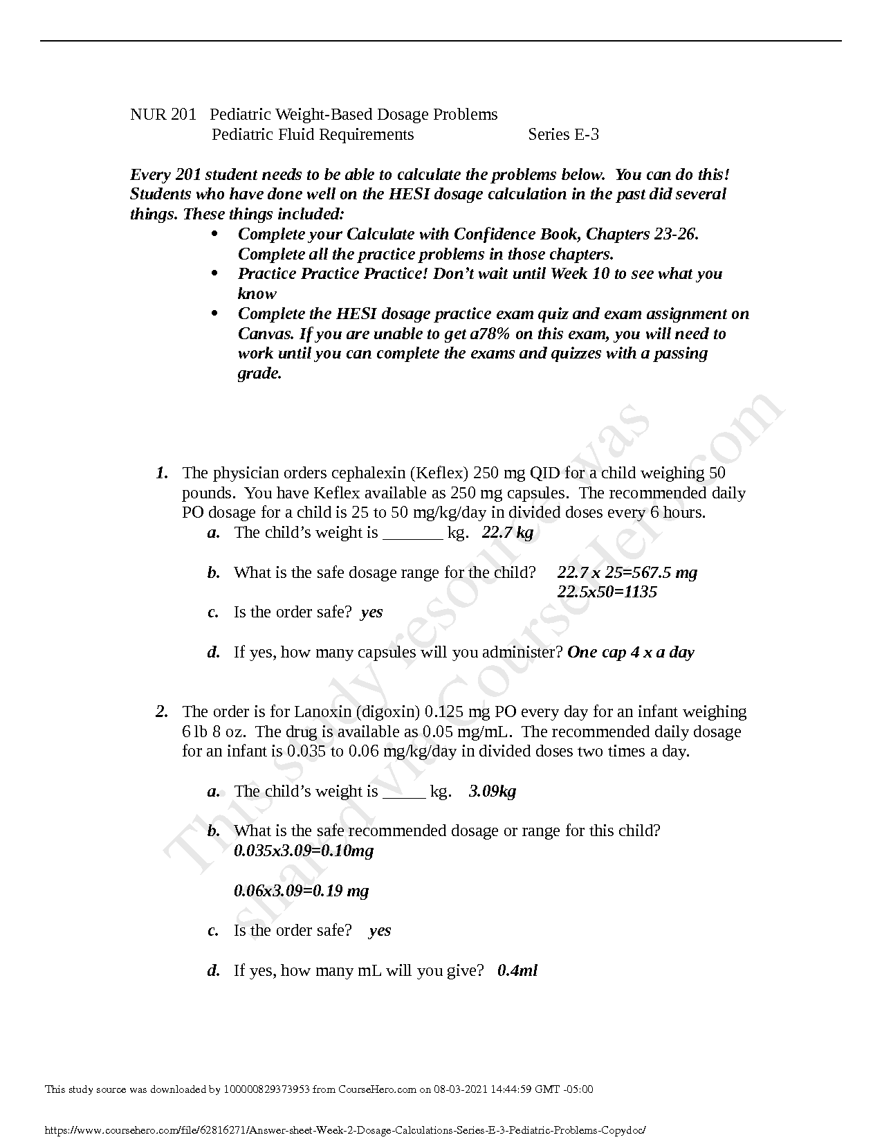
Dosage Calculations Worksheet Week 2 Doc San Joaquin Valley Worksheets Library
Dosage Calculations Worksheet Week 2 Doc San Joaquin Valley Worksheets Library




